Ésta es la ley de Stokes en el estado centrífugo. donde ω es la velocidad angular de la centrífuga y r es la distancia desde la partícula al eje. Debido a la alta velocidad de la centrífuga, ω2r es mucho mayor que la aceleración de la gravedad g, por lo que la velocidad de sedimentación Vc de la misma partícula bajo centrifugación será mucho mayor que la velocidad de sedimentación V bajo gravedad. Por este motivo, la sedimentación centrífuga puede acortar el tiempo de prueba.
De la ley de Stokes se puede ver que siempre que se mida la velocidad de sedimentación de la partícula, se puede obtener el tamaño de la partícula.
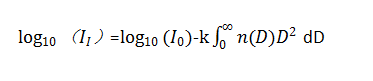
Sin embargo, en el proceso real de medición del tamaño de partículas, hay muchas partículas en el líquido con diferentes tamaños, por lo que es difícil medir directamente la velocidad de sedimentación de cada partícula. Por lo tanto, la tasa de cambio de la intensidad de la luz que pasa a través de la suspensión con el tiempo se utiliza para reflejar indirectamente las partículas. La velocidad de asentamiento. La relación cuantitativa entre la intensidad de la luz y el tamaño de las partículas puede describirse mediante la ley de Beer:

a través de serSegún la ley de Er, podemos obtener la distribución del tamaño de las partículas midiendo la intensidad de la luz en diferentes momentos para obtener la tasa de cambio de la intensidad de la luz.
Derechos de autor © Jinan Winner Particle Instrument Stock Co., Ltd. Todos los derechos reservados | Mapa del sitio
Palabras clave:
Analizador de tamaño de partículas láser Analizador de tamaño de partículas por pulverización