Cada método de medición del tamaño de partícula sirve para medir una determinada propiedad física de las partículas bajo diferentes datos, y se pueden obtener diferentes resultados promedio de acuerdo con una variedad de métodos diferentes (como D [4,3], D [3,2], etc.), pero ¿qué tamaño promedio de partícula se debe usar? Tomemos un ejemplo simple de dos esferas con diámetros de 1 y 10. Para la industria metalúrgica, si calcula un número simple de diámetros promedio de partículas, el resultado es D [1,0] =(1+10)/2=5,5. Pero si estás interesado en la masa de materia, y la masa es una función cúbica del diámetro, entonces una esfera de diámetro 1 tiene una masa de 1 y una esfera de diámetro 10 tiene una masa de 1000. En otras palabras, la esfera grande constituye el 99,9% de la masa total del sistema. En metalurgia, sólo se pierde el 0,1% de la masa total si se deja caer una esfera con un tamaño de partícula de 1. Por lo tanto, el promedio numérico simple no puede reflejar con precisión la masa del sistema, pero D [4,3] puede reflejar mejor la masa promedio de partículas.
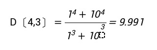
En el ejemplo de las dos esferas anteriores, el tamaño medio de partícula del volumen de la matriz de masa se calcula de la siguiente manera:

Este valor es una indicación bastante adecuada de la calidad del sistema, lo cual es importante para algunas industrias.
Pero en una sala limpia que fabrica circuitos integrados a gran escala, lo único que importa es el número o la concentración de partículas, porque si una partícula cae sobre un chip de silicio, se producirá un defecto y el producto puede fallar. Se necesita un método que pueda medir directamente el número o la concentración de partículas. Para el recuento de partículas es suficiente el número de partículas; en este caso, el tamaño de las partículas no es importante.
Derechos de autor © Jinan Winner Particle Instrument Stock Co., Ltd. Todos los derechos reservados | Mapa del sitio
Palabras clave:
Analizador de tamaño de partículas láser Analizador de tamaño de partículas por pulverización