Síguenos:
Artículos técnicos
Exposición Artículos técnicos Noticias de la empresa
Inicio  /  Noticias  /  Artículos técnicos
Método para probar carbonato de calcio modificado con analizador de tamaño de partículas láser
¿Cómo se mide la distribución del tamaño de las partículas de los pigmentos coloreados?
Principio de la prueba del tamaño de partículas mediante el método de sedimentación: Stokes ley(2)
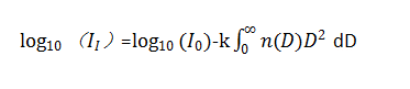
Principio de la prueba del tamaño de partículas mediante el método de sedimentación: ley de Stokes (1)
Comparación de los resultados de la detección de la tecnología de microscopía electrónica y los resultados de la detección de la dispersión dinámica de la luz
Contáctanos
PONTE EN CONTACTO

Derechos de autor © Jinan Winner Particle Instrument Stock Co., Ltd. Todos los derechos reservados | sitemap  

¡HAZ EL PEDIDO AHORA!