Síguenos:
Artículos técnicos
Exposición Artículos técnicos Noticias de la empresa
Inicio  /  Noticias  /  Artículos técnicos
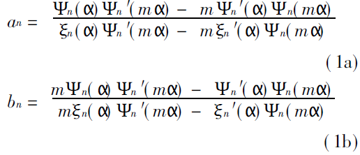
Nuevo algoritmo para el coeficiente de dispersión de Mie (2)
Nuevo algoritmo para el coeficiente de dispersión de Mie (1)
Aplicación del analizador láser del tamaño de partículas en la detección del tamaño de las partículas de titanato de bario(2)
Aplicación del analizador láser del tamaño de partículas en la detección del tamaño de las partículas de titanato de bario (1))
Aplicación del analizador láser del tamaño de partículas en la detección del tamaño de partículas de politetrafluoroetileno
Contáctanos
PONTE EN CONTACTO

Derechos de autor © Jinan Winner Particle Instrument Stock Co., Ltd. Todos los derechos reservados | sitemap  

¡HAZ EL PEDIDO AHORA!