1. Introducción
La teoría de Mie es una solución analítica estricta a la distribución del tamaño de las partículas de la luz del desierto [1]. Actualmente se utiliza ampliamente en campos técnicos y de ingeniería, como protección ambiental, energía, meteorología, astronomía, flujo bifásico y medición de distribución de partículas de polvo. Datos de medición del campo de dispersión de la luz de una partícula o grupo de partículas. Muchas propiedades físicas de partículas o grupos de partículas se pueden deducir de forma inversa, como el tamaño de las partículas, el índice de refracción de las partículas, etc. [2]. Sin embargo, el cálculo inverso debe realizarse con antelación. En 1968, Dave [3] publicó por primera vez el método de cálculo completo del filtro Mie, y luego Lentz [4] y Wiscomb [5] propusieron cálculos parciales. Nuevo algoritmo. Algunas personas en China también han publicado sus propios algoritmos [6, 7, 8]. Pero, en general, estos algoritmos tienen sus propias limitaciones de tamaño. Especialmente cuando aumenta el valor de la parte imaginaria de partículas o píxeles, la velocidad de cálculo suele ser demasiado lenta o se produce desbordamiento y no convergencia. El artículo sobre el fenómeno presenta el nuevo algoritmo del convertidor Mie desarrollado por el autor. La característica de tamaño de este algoritmo es que no está limitado por partículas y píxeles, no provoca desbordamiento ni falta de convergencia y tiene una velocidad de cálculo rápida.
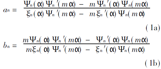
2. Fórmula de cálculo del coeficiente de Mie
El problema central del cálculo del coeficiente de Mie es calcular los coeficientes an y bn del coeficiente de Mie, y sus expresiones son [9].

donde es el parámetro de tamaño de la partícula, definido como α=πd/λ, d es el diámetro de la partícula, λ es la longitud de onda de la luz incidente en el medio que rodea la partícula y m es el índice de refracción complejo relativo de la partícula en el medio circundante, es decir, metro = metro1 + soy2 ( m2< 0)
, donde i es la unidad imaginaria. Las expresiones de Ψn( Z) y ξn( Z) (Z representa tanto α como mα) son
Ψn(Z)=(πZ/2)Jn+1(Z)
Ψn(Z)=Ψn(Z)+iΧn(Z)
Χn(Z)= ̶ (πZ/2)( ̶ 1)n-1J-(n-1)(Z)
= ̶ (πZ/2)Nn+1(Z)
3. Causas del desbordamiento en los cálculos.
Para calcular el coeficiente de Mie, primero debes calcular Ψn y Χn. Generalmente se utiliza el método recursivo. La recursividad se divide en recursividad directa (es decir, a partir de n = 0) y recursividad rígida (es decir, a partir de n = N hasta n = 0, N es el valor preestablecido). Los experimentos muestran que empujar hacia adelante es siempre más rápido que empujar rígido. Valores iniciales de Ψn y Χn

Del análisis de las dos ecuaciones anteriores, se puede ver que cuando m2≠0, si el tamaño de partícula d es muy grande, o el valor de la parte imaginaria m2 del índice de refracción complejo es muy grande, el producto m2 d será muy grande, lo que puede hacer que el término exp(- m2 α en las dos ecuaciones ) =exp ( - π m2d/ λ) El valor excede el límite de datos de la computadora, lo que resulta en un desbordamiento. Esta es una razón importante para el desbordamiento. Además, los algoritmos inadecuados también pueden provocar un desbordamiento durante el proceso de recursividad.
Derechos de autor © Jinan Winner Particle Instrument Stock Co., Ltd. Todos los derechos reservados | Mapa del sitio
Palabras clave:
Analizador de tamaño de partículas láser Analizador de tamaño de partículas por pulverización