1.Nuevo algoritmo de an y bn
Para resolver los problemas anteriores, el autor propuso un nuevo algoritmo. Transforme las fórmulas de an y bn de la siguiente manera: Sea

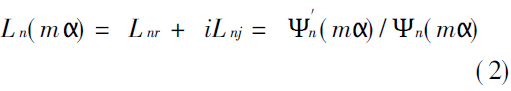
Entre ellos, Lnr y Lnj representan la parte real y la parte imaginaria de Ln(m) respectivamente. Sustituya la ecuación (2) en la ecuación (1) y use anr, anj y bnr, bnj para representar la parte real y la parte imaginaria respectivamente. Entonces se puede deducir.

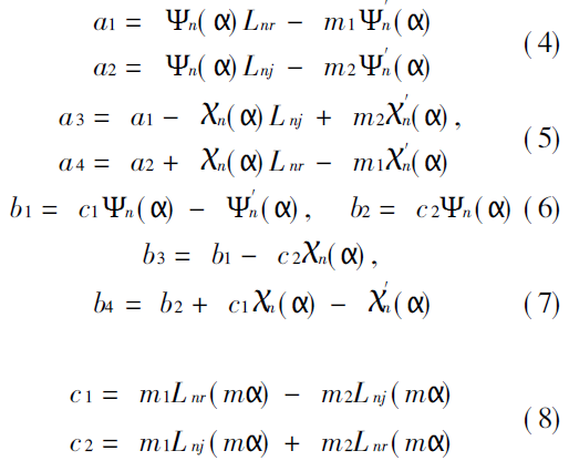
Es muy importante utilizar la forma de proporciones en las cuatro fórmulas, para evitar desbordamientos importantes que pueden ocurrir cuando ai y bi aumentan en el proceso de retraso. Esta es una característica importante del algoritmo mencionado anteriormente. Entre las cuatro fórmulas anteriores.

desde
son todas funciones de variables reales,El cálculo no produce desbordamiento. La clave es cómo lidiar con el algoritmo de
y
.Esto garantiza que no se produzca ningún desbordamiento durante el cálculo. En el algoritmo de Lentz, se utiliza una fracción continua para calcular el valor de Ln, y su precisión se garantiza obteniendo una fórmula empírica para el número de términos truncados N y los parámetros aym basándose en una gran cantidad de cálculos. Una fórmula empírica de este tipo tiene limitaciones prácticas, por un lado, y también provocará errores de truncamiento, por el otro. La literatura (6) ha mejorado esta fórmula empírica, pero todavía está estancada en el rango de a=1~100, m1=1~2, m2=0~1. A continuación se presenta el nuevo algoritmo para Ln desarrollado por el autor de este artículo. La característica de este algoritmo es que no está limitado por los valores de aym, no produce fenómenos patológicos como desbordamiento o no convergencia y tiene una velocidad de cálculo rápida.


Las ecuaciones (3) - (20) derivadas anteriormente constituyen el algoritmo completo de los coeficientes de Mie an y bn. Dado que an y bn se calculan a partir de n = 1, los valores de an y bn de cualquier serie se pueden calcular utilizando las fórmulas de valor inicial (16) - (20), por lo que no hay problema de error de redondeo. Se puede ver en la ecuación (16) que debido a que y = m2ɑ≤0, no importa qué valores tomen m2 y ɑ, no habrá desbordamiento. Además, las fórmulas de (3) adoptan la forma de ratios, lo que evita la necesidad de cálculos. desbordamiento, que resuelve fundamentalmente el problema de desbordamiento.

Ξ es el límite mínimo de datos de la computadora en doble precisión.
La Figura 1 muestra un conjunto de ejemplos de cálculo de intensidad de luz dispersa. Entre ellos, m1 = 1,33, m2 = -0,4 y λ = 0,6328 corresponden a diámetros de partícula de d = 0,001, 1,0 y 30 μm respectivamente. La imagen d es una ampliación parcial del patrón de dispersión cuando el diámetro de partícula d = 100 μm. Se puede observar que a medida que aumenta el tamaño de las partículas, la dispersión hacia adelante se fortalece rápidamente y aparecen lóbulos laterales complejos.

Cambios en la parte real (a) y la parte imaginaria (b). Se puede ver que con el aumento de m1 y m2, aunque el tamaño de las partículas permanece sin cambios, la dispersión también se fortalece y la retrodispersión se fortalece con el aumento de m1 y m2.

La Figura 3 muestra los resultados del cálculo del coeficiente de extinción, donde a) yb) representan los cambios del coeficiente de extinción con la parte real y la parte imaginaria del índice de refracción respectivamente. Se puede observar que a medida que aumenta el diámetro de las partículas, el coeficiente de extinción se acerca a 2; el aumento del índice de refracción, especialmente el aumento de la parte imaginaria del índice de refracción, hace que este enfoque sea más rápido y evidente. Además, cuando la parte imaginaria del índice de refracción m2=0, el coeficiente de extinción oscila a medida que aumenta el diámetro de las partículas; pero cuando m2≠0, la oscilación desaparece rápidamente.

El valor de FM(Z) correspondiente a la intensidad luminosa máxima se determina mediante la fórmula anterior. También se puede ver en la fórmula anterior que el tamaño del desplazamiento focal en este caso límite está determinado principalmente por S0/f y Na.
Derechos de autor © Jinan Winner Particle Instrument Stock Co., Ltd. Todos los derechos reservados | Mapa del sitio
Palabras clave:
Analizador de tamaño de partículas láser Analizador de tamaño de partículas por pulverización